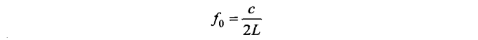
人耳可听声的整个音频范围为20~20000Hz, 包含10倍频程, 其中最低的2倍频程 20~40Hz、40~80Hz有人分别称为超低音和重低音,我们一般统称为超低音。超低音能否被良好地重放,将严重影响音乐的“力度感”和“临场感”。尤其是随着家庭影院AV的兴起,人们对音箱的表现力又提出了新的要求,既要有极佳的音乐表现力,又要有爆得起的音响效果, 这其中的关键在于超低音的重放,而普通小型书架型音箱一般只能重放70~80Hz以上的低音频,中型音箱低端也大多只能重放到50Hz左右,所以大多数音响爱好者在Hi-Fi重放中实际上并没有完整地听到过超低音的重放效果。造成这个问题的主要原因在于中小型音箱一般均采用小口径低音单元,而小口径低音单元的振膜面积过小,位移也不大,一般来说,低音单元的口径较大,振膜的位移相应大一些,因而输出声功率也大一些。另外,低音单元的输出声功率与频率有很大关系,随着频率的减小,输出声功率迅速减小。这是因为在其他条件相同的情况下,辐射的频率越低,振膜的位移越大,而对一定口径的低音单元来说,它的允许位移是一定的,从而导致辐射较低频率时声功率的减小。所以,为了解决超低音的重放问题,一般的方法是采用大口径扬声器和大箱体,这就是传统超低音重放所需付出的代价,但由于受房间面积、环境及美观等方面的影响,音箱的体积又不宜过大,所以,如何既能使音箱体积小型化,又能使低音下限频率尽量向下延伸并日具有足够的声功率输出,是当今超低音重放的主要问题。目前,为解决此问题,使超低音能有效重放的方法主要有以下三种。为了扩展扬声器的低频重放范围,就要降低低频共振频率。扬声器的共振频率fo为:
由此可见,要降低共振频率就要加大振动系统的等效质量Mo和减小系统的劲度So。通常,大口径扬声器的等效质量大,而从低音扬声器的输出功率和振幅关系来看,振幅与口径的平方成反比,因此可以用大口径扬声器作超低音扬声器。
此外,还可利用优选扬声器的振盆材料,加长或加大音圈,增加振盆的冲程,增大扬声器的功率承受能力,提高低频响应的灵敏度等,来扩展扬声器的低频重放能力。现在,一般小口径扬声器的振盆单向最大冲程Xmax为3mm左右,好的产品可达4.5mm左右。有些美国公司生产 Xmax>12mm的超大冲程低音扬声器; 国内常见的惠威牌扬声器,1996年生产的低音单元Xmax普遍提高到7mm左右。
2. 在扬声器系统和电路配合上下功夫
如YAMAHA公司推出的主动伺服技术(ActiveServe Technology)系统(简称AST系统后因商标注册问题改称YST系统),它把扬声器系统和功放的设计结合起来,形成一组理想的系统,可以在6L容积的小箱体中具有28~20000Hz的频响。YST系统建立在两大基点: 亥姆赫兹共振器和负阻抗驱动技术基础上。YST系统的音箱以空气低音来发出低频的声音, “空气低音”是指用一根声导管在箱体上取代传统的低音扬声器所发出的低音。依据亥姆赫兹共振理论,当这根管子与音箱成某一种适当的配合时,它会将箱内小振幅的信号变成庞大的声波放射出来。而要达到这样的效果,音箱内的振幅必须强大且频率要准确,这个问题是靠一组专用的放大器来解决的。由于采用负阻抗驱动的技术,这个放大器能够强有力地推动中音单体(相对低频而言)并产生小振幅但频率准确的低频声波, 这些声波再经由管子与音箱组成的共振器变成大振幅的低音放射出去。因此,依靠负阻抗驱动的功放以及亥姆赫兹共振规律设计的共振箱,能够发出极低频的声音,达到传统扬声器系统所无法比拟的效果。图1列出了传统驱动方式与YST系统的区别。
图1 传统的驱动方式与YST系统
负阻驱动是利用输出阻抗与扬声器音圈阻抗Ro相等但为负值的放大器来驱动扬声器,从而抵消音圈阻抗Ro,使总阻抗变为零。依据驱动力F=BLi=BL(E/Ro-Re)(式中B为磁通密度、L为音圈长度、E为驱动电压、Re为放大器的输出阻抗),使驱动力趋向无穷大,且Q值趋向零,削平了共振峰,此时振膜在所有频率皆处于等速运动,不受箱体影响。
3. 在音箱的结构上创新
近年来在这方面做了许多研究,并出现了许多新颖而有效的超低音音箱结构,其中尤以带通滤波式超低音音箱获得了广泛的应用,下面将对这种音箱进行介绍。
图2是最简单的单开口带通式超低音音箱,它又称ASW(Acoustic Super Woofer)方式。它可以看作是一个封闭箱和一个亥姆霍兹共振器串联组合而成,特性为相乘关系,因此得到如图2(B)所示的低音带通特性。这种单开口带通式音箱可以使用较小口径的低音扬声器获得下限频率约为30Hz的超低音重放。

如在封闭箱A中再加一出声口,如图3所示,就构成双开口带通式超低音音箱。它可以看作是一个倒相箱与一个亥姆霍兹共振器的组合体,也可以看作是两个亥姆霍兹共振器的组合体,各自有互不相同的共振频率,其复合特性如图3右边所示,从而获得比单开口带通式音箱的频带宽度更宽的超低音重放。博世(Bose)AM-01型就是采用这种结构。

与普通超低音音箱相比,这种带通式超低音音箱有如下几个优点:① 要达到同一下限频率时,箱体体积远小于普通音箱。③ 在输出声压一定的情况下,扬声器工作时的振幅较小,从而可以降低大振幅引起的非线性失真。基于同样原理,可用两只扬声器或多个共振器构成更为复杂的超低音音箱结构。图4所示的是近来在市场上应用的几种超低音音箱的结构形式。
图4 若干实用超低音音箱结构

还有一种利用管共振原理的声波导管式超低音音箱。如图5所示,发生管共振时会出现周期振动现象。在开口端空气密度最小,封闭端密度最大。因此对图5来说,单端开口管的共振频率为¼ℷ奇数倍,即第一个共振频率为:对两端开口管将产生½ℷ整数倍频率共振,故第一个共振频率为Bose公司利用这种声波管方式制成了称为“低音炮”或“加农炮”式的超低音扬声器系统,如图6所示。它使用长2.86m、重182kg 的管子,其中装有一只250mm的扬声器。扬声器位于前后管长之比为3:1处,每一段管子都可看作一端封闭的管子,在¼ℷ的奇数倍处产生声共振。在共振时,纸盆附近密度最大,而两端开口处密度最小,因此纸盆只要作小振幅振动就可使空气柱作大振幅运动,从而将大能量推出,获得高频率的超低音重放。Bose公司的ACWS-1低音炮,其工作频率为25~125Hz,能承受150W的功率,灵度为 90dB/(W·m)。
图6 “低音炮”式超低音扬声器系统